Beranda
/ Rumus Pangkat Pecahan : Contoh Soal Pangkat Pecahan Kedalam Bentuk Akar / Untuk membagi variabel berpangkat dengan pangkat negatif, yang harus dilakukan hanyalah memindahkan basis ke sisi seberang garis pecahan.
Rumus Pangkat Pecahan : Contoh Soal Pangkat Pecahan Kedalam Bentuk Akar / Untuk membagi variabel berpangkat dengan pangkat negatif, yang harus dilakukan hanyalah memindahkan basis ke sisi seberang garis pecahan.
Rumus Pangkat Pecahan : Contoh Soal Pangkat Pecahan Kedalam Bentuk Akar / Untuk membagi variabel berpangkat dengan pangkat negatif, yang harus dilakukan hanyalah memindahkan basis ke sisi seberang garis pecahan.. Jadi, pangkatnya itu berupa pecahan. Karena √25 = 5 maka dapat kita disimpulkan bahwa √25 = 25^1/2. Bentuk pangkat dan akar merupakan materi dasar dalam pembelajara aljabar. Dalam bilangan pangkat pecahan tentunya memiliki rumus dan contoh soalnya sendiri. Pada contoh di atas, bilangan pangkat pecahan 1/n sama dengan akar pangkat n, sehingga pangkat m/n dipisahkan terlebih dahulu dengan perkalian 1/n x m.
Pangkat rasional adalah bentuk pangkat pecahan. Untuk membagi variabel berpangkat dengan pangkat negatif, yang harus dilakukan hanyalah memindahkan basis ke sisi seberang garis pecahan. Satu lagi bentuk pangkat yang mulai dipelajari di sma, yaitu pangkat pecahan. Jika kamu ingin mendalami materi ini, simak penjelasan yang ada di sini. Contoh, orang 1/2 akan lebih disukai dari pada 500/1000, tetapi 50/100 atau 500/1000 akan lebih disukai dari pada pecahan seperti 387/774.
1 from Kemudian jika bentuk pangkat pecahan biasa kita dapati pada operasi perhitungan akar. Pelajaran, soal & rumus bentuk pangkat pecahan. Rumus matematika bentuk akar & bilangan pangkat pecahan. Pangkat rasional mempunyai nilai sama dengan bentuk akar. Pelajaran, soal, & rumus bentuk pangkat & akar. Anonim 30 juli 2013 09.14 sangat membantu. 5 tentukan turunan dari fungsi fungsi berikut nyatakan hasil akhir dalam bentuk akar. Sesuai dengan definisinya, eksponen mengandung bentuk perpangkatan dan akar.
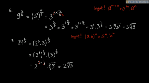
( 2 3 ) 2 = 2 3 x 2 = 2 6.
Untuk itu marilah kita simmak bersama! Pangkat rasional mempunyai nilai sama dengan bentuk akar. Jika kamu ingin mendalami materi ini, simak penjelasan yang ada di sini. Pelajaran, soal, & rumus bentuk pangkat & akar. Rumus co id setelah sebelumnya kita membahas tentang bilangan prima kali ini kita akan membahas materi tentang rumus bilangan positif dan negatif kita akan jabarkan secara detail dan lengkap mulai dari pengertian dan contoh bilangan positif negatif beserta pembahasannya. √a x √b = √a x b. Perpangkatan bentuk an sama dengan perkalian a dengan bilangan a juga sebanyak n kali. Kami juga telah menyiapkan soal latihan agar kamu dapat mempraktikkan materi yang telah diterima. Untuk lebih menguasainya, kamu bisa menyimak pembahasannya di sini. Untuk lebih jelas silahkan simak penjelasan dibawah ini : Superskrip adalah jenis penulisan pada karakter yang diletakkan lebih tinggi dari karakter. Sekarang kita coba lagi dengan contoh yang lain, misalnya 343x = 7 mari. Lalu apa itu bilangan berpangkat pecahan?
Oleh karnanya, supaya kita mudah mempelajari bilangan berpangkat pecahan, kita harus terlebih dulu mengerti soal pengertian, rumus dan juga sifat bilangan berpangkat itu. Lalu apabila bentuk pangkat pecahan biasanya kita dapati didalam operasi perhitungan akar. ( 2 3 ) 2 = 2 3 x 2 = 2 6. Pangkat rasional adalah bentuk pangkat pecahan. Rumus penjumlahan bilangan berpangkat pecahan tersebut memuat prinsip perpangkatan pecahan pada umumnya.
Pengertian Bilangan Berpangkat Bulat Negatif Beserta Contoh Soal Dan Pembahasannya Berpendidikan Com from www.berpendidikan.com Oleh karnanya, agar kita mudah untuk mempelajari bilangan berpangkat pecahan, kita harus terlebih dahulu mengerti tentang pengertian, rumus dan sifat bilangan berpangkat tersebut. Di sini, kamu akan belajar tentang bentuk pangkat. Oleh karena itu, biasanya akan dilakukan penyerdehanaan bilangan pecahan agar mempermudah pembacaannya. Bentuk pangkat pecahan memang cukup menarik untuk diulik. Jika dalam pangkat , maka nilai a dikalikan dengan a sebanyak n kali atau a n = a x a x … x a. Sebagai contoh, 52 = 5 x 5. Rumus matematika bentuk akar & bilangan pangkat pecahan. Kita misalkan saja 25^a = 5 jika 25 dipangkatkan dengan a hasilnya adalah 5, maka kita bisa mencari nilai a:
Bilangan pangkat pecahan bisa diubah menjadi akar dengan menggunakan rumus berikut :
Untuk itu marilah simak pembahasan berikut ini! Pada kesempatan ini kita akan membahas beberapa contoh turunan fungsi aljabar dengan aturan rantai. Nah, pada artikel selanjutnya, akan kita bahas bagaimana cara membuat akar, pecahan, per, dan tips lainnya di word. Bentuk pangkat dan akar merupakan materi dasar dalam pembelajara aljabar. Eksponen negatif digunakan untuk menulis pecahan dengan pangkat. Bentuk 7 1/2 adalah bentuk bilangan berpangkat pecahan. Untuk membagi variabel berpangkat dengan pangkat negatif, yang harus dilakukan hanyalah memindahkan basis ke sisi seberang garis pecahan. Misalnya saja bilangan real dilambangkan dengan huruf a (a ≠ 0) dan bilangan bulat positif dilambangkan dengan huruf m. Superskrip adalah jenis penulisan pada karakter yang diletakkan lebih tinggi dari karakter. Dalam bilangan pangkat pecahan tentunya memiliki rumus dan contoh soalnya sendiri. Anonim 30 juli 2013 09.14 sangat membantu. Maka rumus yang berlaku adalah: Rumus co id setelah sebelumnya kita membahas tentang bilangan prima kali ini kita akan membahas materi tentang rumus bilangan positif dan negatif kita akan jabarkan secara detail dan lengkap mulai dari pengertian dan contoh bilangan positif negatif beserta pembahasannya.
Karena √25 = 5 maka dapat kita disimpulkan bahwa √25 = 25^1/2. Anonim 30 juli 2013 09.14 sangat membantu. Jika pangkat suatu bilangan adalah pecahan, maka disebut eksponen pecahan. Eksponen negatif digunakan untuk menulis pecahan dengan pangkat. Mohon koreksi pada contoh bilangan dalam pangkat pecahan.
Bilangan Berpangkat Dan Bentuk Akar Materi Soal Artikel Materi from 2.bp.blogspot.com Pangkat pecahan ini berhubungan dengan operasi akar. Membagi pecahan biasa dengan pecahan biasa cukup hanya dengan langkah seperti uraian rumus perkalian pecahan. Rumus co id setelah sebelumnya kita membahas tentang bilangan prima kali ini kita akan membahas materi tentang rumus bilangan positif dan negatif kita akan jabarkan secara detail dan lengkap mulai dari pengertian dan contoh bilangan positif negatif beserta pembahasannya. Berikut ini dua contoh soal mengenai hal ini: Eksponen negatif digunakan untuk menulis pecahan dengan pangkat. Bilangan berpangkat merupakan salah satu materi matematika yang diajarkan ketika di bangku sekolah. Kita ketahui bahwa pecahan adalah adalah bilangan yang dapat dituliskan dalam bentuk m/n dengan m,n ∈ bil. Menulis pecahan dan pangkat di word;
Jika y = c dengan c adalah konstanta maka d y /d x = 0 contoh jika y = 6 maka turunannya adalah sama dengan nol (0)
Sepuluh pangkat 5 8 10: Rumus matematika merupakan aturan umum untuk menyelesaikan permasalahan matematika. Untuk itu marilah simak pembahasan berikut ini! Untuk lebih menguasainya, kamu bisa menyimak pembahasannya di sini. Nah, pada artikel selanjutnya, akan kita bahas bagaimana cara membuat akar, pecahan, per, dan tips lainnya di word. Contoh soal turunan pangkat pecahan. X 7 /x 3 =. Bilangan berpangkat merupakan salah satu materi matematika yang diajarkan ketika di bangku sekolah. Pangkat biasanya ditemui sebagai bilangan bulat atau bilangan asli. Kami juga telah menyiapkan soal latihan agar kamu dapat mempraktikkan materi yang telah diterima. Mohon koreksi pada contoh bilangan dalam pangkat pecahan. Perpangkatan dalam pecahan sama prinsipnya dengan aturan pangkat pada bilangan bulat. Untuk lebih jelas silahkan simak penjelasan dibawah ini :
Berbagi
Posting Komentar
untuk "Rumus Pangkat Pecahan : Contoh Soal Pangkat Pecahan Kedalam Bentuk Akar / Untuk membagi variabel berpangkat dengan pangkat negatif, yang harus dilakukan hanyalah memindahkan basis ke sisi seberang garis pecahan."
Posting Komentar untuk "Rumus Pangkat Pecahan : Contoh Soal Pangkat Pecahan Kedalam Bentuk Akar / Untuk membagi variabel berpangkat dengan pangkat negatif, yang harus dilakukan hanyalah memindahkan basis ke sisi seberang garis pecahan."